温馨提示:苏教版小学一年级语文上册——生字表1的图片如果出现 "进度条" 说明图片正在加载中,请耐心等候...,如果加载太久,请刷新一下页面重新加载。。。
为了方便学习,您可以下载完整版的课本,方便离线学习使用!
苏教版小学一年级语文上册——目录
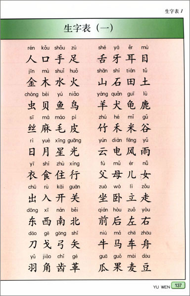
苏教版小学一年级语文上册——生字表1
苏教版小学一年级语文上册——生字表2
苏教版小学一年级语文上册——练习1
苏教版小学一年级语文上册——练习2
苏教版小学一年级语文上册——练习3
苏教版小学一年级语文上册——练习4
苏教版小学一年级语文上册——练习5
苏教版小学一年级语文上册——练习6
苏教版小学一年级语文上册——课文家
苏教版小学一年级语文上册——课文神舟号
苏教版小学一年级语文上册——课文3
苏教版小学一年级语文上册——识字4
苏教版小学一年级语文上册——识字5
苏教版小学一年级语文上册——识字6
苏教版小学一年级语文上册——东方明珠
苏教版小学一年级语文上册——秋姑娘的信
苏教版小学一年级语文上册——大海睡了
苏教版小学一年级语文上册——冰花
苏教版小学一年级语文上册——北风和小鱼
苏教版小学一年级语文上册——怀素写字
苏教版小学一年级语文上册——小河与青草