温馨提示:《手拉手,地球村》苏教版小学六年级音乐上册简谱课本2013年审定版的图片如果出现 "进度条" 说明图片正在加载中,请耐心等候...,如果加载太久,请刷新一下页面重新加载。。。
为了方便学习,您可以下载完整版的课本,方便离线学习使用!
《封面》苏教版小学六年级音乐上册简谱课本2013年审定版
《目录》苏教版小学六年级音乐上册简谱课本2013年审定版
《第一单元 七彩桥 丝绸之路》苏教版小学六年级音乐上册简谱课本2013年审定版
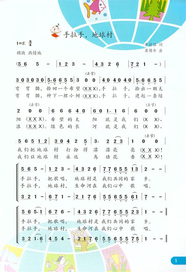
《手拉手,地球村》苏教版小学六年级音乐上册简谱课本2013年审定版